繞管式換熱器作為全球大型液化天然氣工廠的主低溫換熱器[1],其單線生產能力可達780×105t/a。液化天然氣(LNG)繞管式換熱器技術門檻極高,殼側工質為氣液兩相時,氣液相之間的相互作用使得殼側傳熱與壓降計算變得復雜。因此,需要針對殼側大質流密度下的相變流動進行研究,為繞管式換熱器的設計與優化提供理論依據。由于繞管式換熱器造價昂貴,目前其實驗研究較少,國內外課題組多通過工程計算和數值模擬的方法進行設計分析。歐陽新萍等[2]提出了兩種用于工程計算的方法,將多股流繞管式換熱器的計算分解為單股流,簡化了計算過程。Li等[3]建立了晃蕩工況下的繞管式換熱器數值模型,研究表明橫搖和縱搖均會導致傳熱惡化。邱國棟等[4]建立了丙烷在管側進行冷凝換熱的數值模型,結果表明傳熱系數隨質量流率的增加而增加。吳志勇等[5]對繞管式換熱器殼側沸騰過程進行了數值研究,結果表明,工質為乙烷與丙烷時,時間松弛參數為3s-1。王斯民等[6]提出了一種通過安裝直插式墊條型內插件來增強繞管式換熱器換熱性能的方案,并通過數值模擬研究了其流動換熱性能,結果表明此方案能將綜合換熱性能提高7.4%~10.5%。楊發煒等[7]通過流場模擬軟件研究了管徑和層間距對繞管式換熱器殼程換熱性能的影響,結果表明,換熱器的換熱效果隨層間距的增大而減小,且并管換熱系數在流速較高時高于非并管。He等[8]通過改變幾何模型的纏繞角,使用數值計算的方法研究了不同模型下纏繞管式換熱器殼程流動換熱規律,發現殼側局部換熱系數分布與膜厚分布一致,平均換熱系數隨雷諾數增加而增加,隨纏繞角度增加而減小。馬飛[9]提出了一種纏繞管式換熱器殼側多目標驅動優化遺傳算法以及殼程努塞爾數和阻力系數之間的關聯關系。在實驗研究方面,汪耀龍等[10]設計了一種均布器,以水為工質進行了流體均布特性研究,結果表明設置均布器對液相流體的均布性能有所提升。
Neeraas等[11-12]設計了一種用于研究單相工質在殼側傳熱流動的小型實驗系統,開發了殼側氣相與液相工質下的傳熱和壓降關聯式。Sun等[13]設計了一種雙混合制冷劑實驗裝置,研究了復合晃蕩情況下繞管式換熱器殼側流動情況,結果表明殼側壓降受晃蕩影響大于溫度影響。Hu等[14]設計了一種低溫實驗平臺,研究了小質流密度下傳熱系數隨干度的變化規律,結果表明傳熱系數隨干度先增加后減小。李豐志等[1]設計了一種管側低溫實驗系統,以液相丙烷為工質進行了實測,得到了較高精度的實驗數據。龐曉冬等[15]設計了一種螺旋折流板管殼式換熱器實驗系統,研究了丙烷在管側的冷凝換熱特性,結果表明,在干度0.9時,換熱系數達到峰值。
Zhu等[16]設計了一種浮式液化天然氣實驗裝置,測試原料氣流量和海況對繞管式換熱器的適應性,結果表明,當原料氣完全液化時,降溫速率逐漸增大。Sun等[17]通過一種低溫工質晃蕩實驗裝置,對海上液化天然氣產業鏈主低溫換熱器多相流動特性進行了研究,提出當蓋板的防晃動角度為15°時,液體波動指數較小,抗晃動性能良好。Zheng等[18]建立了以水和空氣為介質的實驗測試系統,研究了螺旋管換熱器殼程氣液混合物的分配性能,結果表明,當氣體含量為0.4左右時,管式分布器具有較好的兩相均勻性。綜上所述,現有研究多集中于工程計算和模擬研究,獲得了一系列有益的結果。但是已有研究主要集中于單相工況及管側研究,對于換熱器殼側的實際低溫混合工質兩相流動、沸騰相變及其對壓降和傳熱側影響研究還較少且缺少實驗驗證。因此,本文針對烴類工質在殼側的兩相流動及傳熱、壓降特性問題,結合數值模型和實驗研究了干度、熱流密度、質流密度等參數對繞管式換熱器傳熱、壓降及流型變化的影響。
1、模型構建
1.1繞管換熱器物理模型
工業中繞管式換熱器具體結構如圖1所示。其工作原理為低溫的混合烷烴制冷劑以噴淋形式由上而下地從殼側流過,而溫度較高的天然氣從管側自下而上地流動,兩者通過繞管壁面發生換熱,混合烷烴吸熱汽化,而天然氣放熱降溫實現液化[19-20]。由于繞管式換熱器結構龐大,其管束排列復雜,若將整個繞管式換熱器作為模擬對象,計算時間將大幅增加且難以收斂。而選擇合適的尺寸來簡化模型能在更少的計算時間內有效提高計算精度。本文選取繞管式換熱器尺寸的八十分之一(θ=4.5°)為研究對象。

根據董龍飛等[21]的研究,流通長度上的簡化帶來的誤差遠小于流動波動帶來的誤差。Li等[3]的模擬研究表明,該軸向長度既不會過短而造成偏離實際繞環結構的叉排效果,也不會因為過長而浪費計算資源。模型的具體參數如圖2所示。幾何模型由5列繞管組成,其中左右兩列為半圓管緊貼壁面,具體結構如圖1所示。氣液兩相的混合烷烴通過頂部直徑為8mm的噴淋孔進入殼側。換熱測試段中通過給定熱流密度的方式來研究換熱器殼側傳熱特性,為模擬不銹鋼繞管在傳熱中的效果,在傳熱測試段內增加6mm壁厚的固體域。殼側幾何模型的主要參數為:繞管外徑12mm,繞管內徑6mm,管間距(橫向管間)2mm,層間距(縱向剖層間)1mm,螺旋升角4°,繞管長度200mm。

1.2數值模型
纏繞管換熱器中殼側制冷劑的相變是一個降膜沸騰過程,包括管壁上液相的蒸發和兩個相交界面之間的傳質。工作介質的流動主要受重力、摩擦力和表面張力的影響。根據濕度測量結果[22],假設工作介質與管壁之間的接觸角為10°。獲得殼側準確傳熱特性的關鍵是建立合理的傳質模型、接觸角模型和潛熱模型,模擬殼側工作介質在纏繞管換熱器中的傳熱傳質過程。該模型的具體邊界條件為:入口采用指定質流密度入口,出口自由流出,固體域內壁面為定熱流密度壁面,其余壁面均為靜止、無滑移的絕熱壁面,考慮重力影響,流量為9.81m2/s,方向垂直向下?;贜-S方程,針對降膜蒸發模型選用式(1)~式(8)控制方程。
連續性方程

式中,τ為時間,s;p為壓力,MPa;μ為黏度,mPa.s;g為重力加速度,m/s2;ρ為密度,kg/m3;Fσ為相間作用力,N;σ為界面張力,N;κv為界面曲率;αv為體積分數;ρv為氣相密度,kg/m3;ΔT為溫差,K;μg為氣相速度,m/s;μl為液相速度,m/s;ρg為氣相密度,kg/m3;ρl為液相密度,kg/m3;βg為汽相體積分數;βl為液相體積分數;v為汽相和液相的共享速度(矢量),m/s;E為內能;E1為液相內能,J;Γm為連續方程的源項;Γe為能量方程的源項。殼側沸騰過程中質量與能量的傳輸通過以下模型進行描述。(1)相變傳質模型傳質源項分為蒸發和冷凝兩部分進行考慮,根據Lee模型,當工質的局部溫度高于飽和溫度即T≥Tsat時,發生蒸發,并且控制單元內液相轉變為汽相的汽化量mlv[式(9)]。

反之,若工質的局部溫度低于飽和溫度即T<Tsat時,發生冷凝,并且控制單元內汽相轉變為液相的汽化量mvl[式(10)]。

式中,coeff為時間松弛參數,根據吳志勇等[5]的研究取值為3s-1。(2)潛熱傳熱模型相變過程中的熱量傳輸是通過連續方程中添加潛熱傳熱源項Γe實現的,Γe可用式(11)表達。

式中,hLH為工質的汽化潛熱,J/kg。模型采用三維雙精度計算器,選取壓力基求解器,采用穩態二階隱式計算,啟用能量方程,湍流模型選取RNGk-ε模型,使用VOF多相流模型,壁面附近流動采用標準壁面函數,壓力速度耦合采用SIMPLEC算法,梯度離散采用Green-GaussNodeBased離散格式,壓力基采用PRESTO,其余離散均采用二階迎風離散格式。數值模擬中以0.45∶0.55(本文所有組分比例均為摩爾比)的乙烷和丙烷(C2/C3)為工質。其熱物性如密度、比熱容等采用了陳永東等[23]對混合介質熱物性的計算方法。
1.3測試通道流通面積
為準確輸入模型入口處的質流密度,殼側流通處的橫截面積計算就尤為重要。Fredheim[24]通過對繞管間的層間距積分導出換熱器殼側的平均流通橫截面積。本文采用該方法對殼側制冷劑的流通面積進行計算,如式(12)。

式中,S為殼側流通面積,m2;D為總寬度,m;dd為徑向管中心距,m;dg為氣相殼側平均流動間隙,m,計算如式(13)。

2、驗證實驗
近期,國際國內繞管式換熱器方面的最新研究較少且主要的經典關聯式年代較為久遠,因此搭建了以浮式液化天然氣(FLNG)/LNG繞管式換熱器為測試件的大質流密度混合工質流動傳熱測試的實驗系統,可以實現對低溫條件下繞管式換熱器殼側流動換熱特性研究。本實驗系統包括主循環回路、冷卻回路、控制系統等。主要設備包括壓縮機、冷卻塔、換熱器、冷水機組、冷凍機組、冷水機組換熱器、冷凍機組換熱器、液氮換熱器(微通道換熱器)、氣動開關閥、氣動調節閥、干度調節電加熱器、過熱電加熱器、緩沖罐,如圖3所示。管程換熱采用模擬加熱管束實現。實驗過程中,乙烷工質與丙烷工質按各自質量比分別進行充注,實驗系統中,壓縮機入口處及流量計入口處各布置有一個實驗工質取樣口,分別對氣相及液相工質進行取樣。實驗系統穩定后,分別從兩個取樣口對工質取樣,并通過氣相色譜儀對取樣樣本進行色譜分析。當氣相取樣口與液相取樣口得到的樣本中各組分摩爾分數偏差小于1%時,認為實驗系統運行穩定且取樣有效。本文研究中涉及的物性參數通過GERG-2004天然氣混合物物性模型[25]計算得到。

如圖4所示,本實驗平臺選取與實際應用相貼近的結構尺寸參數,其中層間距為1mm,管間距為2mm,管外徑為12mm,管內徑為6mm,螺旋升角為4°,與數值模型一致。測試件從上至下依次為入口段、均流穩流段、壓降測試段、傳熱測試段、觀察窗以及測試樣件出口段。數值模型中也采用了和實驗模型一致的傳熱和壓降監測段。此外,在測試件入口處還采用了多孔均流板,以實現流體均勻分布。實驗工質為摩爾比0.45∶0.55的乙烷和丙烷。實驗采用的所有熱電偶均在-196~50℃溫度范圍內進行了標定,并在傳熱系數計算過程中對各溫度數據進行修正。本實驗針對壓降測量在測試樣件上布置的測點包括壓差引壓測點和壓力引壓測點,傳感器布置時已避免測點探頭對測試樣件內部流動特征產生明顯影響。壓力引壓測點布置在壓降測試段入口處,壓差引壓測點布置在壓降測試段入口和出口處,壓力和壓差引壓測點不會占據內部流體通道,因此不會對測試樣件內部流動產生明顯影響。

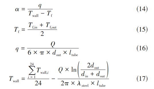
實驗系統整體采用一層二烯烴和兩層橡塑的方案進行保冷,經熱平衡測算,系統漏熱造成的工質干度變化小于0.01,可認為實驗系統為絕熱條件。特別地,傳熱流動核心部件測試樣件部分,漏熱率小于0.31%,可以認為實驗測試樣件部分漏熱防護良好。實驗系統的傳熱系數主要由熱流密度、管壁溫度與流體溫度計算得到,計算公式如式(14)~式(17)所示。

式中,α為傳熱系數,W/(m2.K);q為熱流密度,W/m2;Twall為繞管外壁面溫度,K;Tf為流體溫度,K;Tf,in為流體入口溫度,K;Tf,out為流體出口溫度,K;Q為加熱功率,W;din為繞管內徑,m;dout為繞管外徑,m;ltube為繞管長度,m;Twall,i為傳熱測試段內壁面溫度,K;λsteel為不銹鋼熱導率,取13.81W/(m.K)。實驗系統所用質量流量計、壓差變送器、壓力變送器、熱電偶等具體參數見表1。

3、模型驗證和結果分析
3.1干度及質流密度對壓降的影響
在入口壓力為0.3MPa的條件下研究不同干度及質流密度對殼側壓降的影響。通過數值計算,得到壓降與干度和質流密度的關系,如圖5所示。其中多數模擬偏差在±20%以內。

從壓降圖中可以看出,隨著干度和質流密度的增加,殼側壓降呈現出不斷增大的趨勢。殼側壓降主要受液相與管壁間的黏性力和氣相剪切力的作用。當干度較小時,液相的流速較慢,流體與管壁間的黏性作用占主導地位,因此壓降較小。當干度較高時,摩擦壓降主要取決于氣相流速,因此當干度增加時氣相流速得到提升,導致了壓降的增加。
3.2干度及質流密度對傳熱系數的影響
為驗證實驗與模擬之間的誤差,在質流密度70kg/(m2.s)、熱流密度3000W/m2的條件下,傳熱系數隨干度(x)的變化如圖6(a)所示。從圖中可以看出實驗值與模擬值的變化規律吻合度較高,傳熱系數隨干度的增加而減小。該現象主要由于干度越小,工質中液相質量占比越少,難以覆蓋住完整的壁面。此外低干度時模擬值與實驗值間誤差較小,大部分誤差在±20%以內,在高干度時模擬值與實驗值誤差相比較大,主要存在兩方面原因:一方面,在實驗中,高干度下殼側氣相流速較高,測量儀器數值波動范圍較大;另一方面,干度大于0.7時,氣液相滑速比相差較大,預期會部分增加模擬與實驗的誤差。圖6(b)顯示了0.3MPa蒸發壓力、60~120kg/(m2.s)質流密度、1000~4000W/m2熱流密度條件下,模型的預測值與實驗值的比較。由圖6(b)可以看出模擬結果與實驗值的偏差大部分在±40%以內。

在入口壓力為0.3MPa、熱流密度為3000W/m2的條件下,不同干度及質流密度下殼側傳熱系數的變化經數值計算如圖7所示。從圖中可以看出傳熱系數隨干度的增加而減小,當干度降到0.7時,傳熱系數趨于穩定。產生該規律的原因可能是絕大部分工況下液相較多,換熱器殼程內的換熱主要得益于繞管壁面液相的傳導作用,隨著干度的增大,液相工質減少并且氣相對其剪切力增大,導致液膜越來越難以覆蓋住管壁面,管壁出現局部蒸干區,且隨干度的增大,蒸干區變大,傳熱系數減小,加強了傳熱惡化。當干度為0.7時,氣相的對流換熱占據主導地位,此后干度的繼續增加對傳熱系數已無明顯影響,傳熱趨于穩定。此外,圖中結果表明,相同干度下,傳熱系數隨質流密度的增加而增加。這是因為液相流量的增加使得液膜能夠覆蓋住更大的管壁面積,繞管式換熱器殼側整體換熱效果得到加強。

3.3流型轉變結果
殼側壓降及傳熱特性變化規律均與管壁面流型有著密不可分的聯系,因此流型隨干度的變化規律尤為重要。在繞管氣液相傳質過程中,靠近壁面處氣泡首先成核,不斷增大后穿過液膜,在氣液相密度差引起的浮力作用下,部分氣泡被迫聚集在繞管壁面下方,并沿管徑方向移動。此外,由于氣泡的不斷膨脹使得壁面液膜產生了波動,不同管徑處的流量產生了變化,使得不同區域產生不均勻傳熱的同時也加快了流型的轉變。在實驗工況的范圍內,主要出現的流型主要包括柱狀流、滴狀流、剪切流和霧狀流,如圖8所示。在60kg/(m2.s)質流密度下,實驗結果表明干度為0.2時,殼側氣體流量較小,流速較慢,此時液膜呈連續不間斷的柱狀;隨著干度增加至0.5時,減少后的液相流量已無法呈現出連續不間斷的流型,轉而變為離散的滴狀流;當干度上升至0.7時,液相流量急劇減少,且氣相流速較大,此刻管壁面幾乎沒有液膜覆蓋,壁面出現蒸干區,殼側流型呈剪切流;當干度上升至0.9時,殼側幾乎全為氣相,管壁面蒸干區占據主體,流型變為霧狀流。在當前實驗條件下,流型轉化過程較為清晰且與模型研究結果相一致。模擬結果中流型變化隨干度變化的趨勢保持一致:柱狀流主要在干度為0.2時呈現,而滴狀流則主要在干度為0.5附近出現,剪切流在干度為0.7附近出現,霧狀流在干度為0.9附近出現。不同干度下的流型變化同時也有對應條件下的殼側換熱情況的轉變。結合圖7與圖8,可以看出,在干度為0.2、0.5、0.7和0.9附近區域,都是傳熱系數的趨勢發生轉折變化的區域,二者緊密相關。

4、結論
本研究針對LNG繞管式換熱器殼程兩相流動構建了沸騰傳熱模型,并通過實驗驗證,探索了壓降、傳熱系數及流型變化規律,主要結論如下。
(1)通過數值模型計算得到的壓降值與實驗數據具有較高的吻合度。壓降誤差在±20%以內,傳熱誤差則多在±40%以內。
(2)數值模型計算得到的換熱系數顯示,在相同工況下,傳熱系數隨干度的增加而減小,當干度到0.7時趨于穩定,且質流密度的增大對加強換熱有顯著效果。
(3)根據實驗,混合烴類制冷劑在殼側流動中,按不同干度依次呈現出柱狀流、滴狀流、剪切流和霧狀流四種流型,轉換干度分別為0.2、0.5、0.7和0.9,且與模擬結果吻合。
參考文獻
[1] 李豐志, 于佳文, 鹿來運, 等. LNG繞管式換熱器管側流動與傳熱實 驗臺設計及驗證[J]. 哈爾濱工業大學學報, 2017, 49(2): 98-102.
LI Fengzhi, YU Jiawen, LU Laiyun, et al. Design and verification for tube-side flow and heat transfer test-rig of coil-wound LNG heat exchangers[J]. Journal of Harbin Institute of Technology, 2017, 49(2): 98-102.
[2] 歐陽新萍, 秦潔, 薛林鋒, 等. 多股流繞管式換熱器的管束排布及傳 熱計算[J]. 化工進展, 2019, 38(S1): 39-45.
OUYANG Xinping, QIN Jie, XUE Linfeng, et al. Tube bundle arrangements and heat transfer calculations of multi-stream spiral wound heat exchanger[J]. Chemical Industry and Engineering Progress, 2019, 38(S1): 39-45.
[3] LI J R, HU H T, WANG H X. Numerical investigation on flow pattern transformation and heat transfer characteristics of two-phase flow boiling in the shell side of LNG spiral wound heat exchanger[J]. International Journal of Thermal Sciences, 2020, 152: 106289.
[4] 邱國棟, 蔡偉華, 吳志勇, 等. 繞管換熱器兩相流冷凝換熱及沿程壓 力降模擬[J]. 煤氣與熱力, 2015, 35(2): 30-34.
QIU Guodong, CAI Weihua, WU Zhiyong, et al. Simulation of twophase flow condensing heat exchange and frictional pressure drop in coil-wound heat exchangers[J]. Gas & Heat, 2015, 35(2): 30-34.
[5] 吳志勇, 陳杰, 浦暉, 等. LNG繞管式換熱器殼側過熱態流動的數值 模擬[J]. 煤氣與熱力, 2014, 34(8): 6-11.
WU Zhiyong, CHEN Jie, PU Hui, et al. Numerical simulation of superheated flow of refrigerant at shell side of LNG spiral wound heat exchanger[J]. Gas & Heat, 2014, 34(8): 6-11.
[6] 王斯民, 段旭東, 文鍵. 直插式墊條型纏繞管式換熱器過程強化[J].化工進展, 2021, 40(12): 6613-6619.
WANG Simin, DUAN Xudong, WEN Jian. Comprehensive performance of spiral-winding tube heat exchanger with vertically inserting space bars[J]. Chemical Industry and Engineering Progress, 2021, 40(12): 6613-6619.
[7] 楊發煒, 張周衛, 周文和. 纏繞管式換熱器并管殼程換熱數值研究[J]. 石化技術, 2022, 29(5): 96-100.
YANG Fawei, ZHANG Zhouwei, ZHOU Wenhe. Numerical study on shell side heat transfer of wound tube heat exchanger[J]. Petrochemical Industry Technology, 2022, 29(5): 96-100.
[8] HE N, CHEN Y D, YU S R, et al. Effect of winding angles on flow and heat transfer characteristics in the shell side of spiral wound heat exchangers[J]. Thermal Science and Engineering Progress, 2022, 29: 101226.
[9] 馬飛. 螺旋纏繞管換熱器傳熱數值模擬[D]. 鄭州: 鄭州大學, 2014. MA Fei. Numerical simulation of heat transfer of spiral coiledheat exchanger[D]. Zhengzhou: Zhengzhou University, 2014.
[10] 汪耀龍, 劉蓮, 鄭文科, 等. 均布器對LNG繞管式換熱器殼側流體 的影響[J]. 煤氣與熱力, 2022, 42(5): 16-22.
WANG Yaolong, LIU Lian, ZHENG Wenke, et al. Influence of distributor on shell-side fluid of LNG spiral wound heat exchanger[J]. Gas & Heat, 2022, 42(5): 16-22.
[11] NEERAAS B O, FREDHEIM A O, AUNAN B. Experimental shellside heat transfer and pressure drop in gas flow for spiral-wound LNG heat exchanger[J]. International Journal of Heat and Mass Transfer, 2004, 47 (2): 353-361.
[12] NEERAAS B O, FREDHEIM A O, AUNAN B. Experimental data and model for heat transfer, in liquid falling film flow on shell side for spiral wound LNG heat exchanger[J]. International Journal of Heat and Mass Transfer, 2004, 47 (14/15/16): 3565-3572.
[13] SUN C, LI Y, HAN H, et al. Effect of compound sloshing conditions on pressure drop and heat transfer characteristics for FLNG spiral wound heat exchanger[J]. Applied Thermal Engineering, 2019, 159: 113791.
[14] HU H, DING C, DING G, et al. Heat transfer characteristics of twophase mixed hydrocarbon refrigerants flow boiling in shell side of LNG spiral wound heat exchanger[J]. International Journal of Heat and Mass Transfer, 2019, 131: 611-622.
[15] 龐曉冬, 楊果成, 陳杰, 等. 丙烷在螺旋折流板管殼式換熱器殼側流 動冷凝換熱特性的實驗研究[J]. 制冷技術, 2016, 36(5): 31-37.
PANG Xiaodong, YANG Guocheng, CHEN Jie, et al. Experimental investigation of heat transfer characteristics of propane condensation in helical baffle shell-tube heat exchanger[J]. Chinese Journal of Refrigeration Technology, 2016, 36(5): 31-37.
[16] ZHU J, SUN C, LI Y, et al. Experiment on adaptability of feed gas flow rate and sea conditions on FLNG spiral wound heat exchanger[J]. International Journal of Heat and Mass Transfer, 2019, 138: 659-666.
[17] SUN C, LIU L, WANG S, et al. Visualization experimental and numerical study on multiphase flow characteristics of main cryogenic heat exchanger in offshore liquefied natural gas industry chain[J]. Cryogenics, 2022, 124: 103490.
[18] ZHENG W, CAI W, JIANG Y. Distribution performance of gas–liquid mixture in the shell side of spiral-wound heat exchangers[J]. Chinese Journal of Chemical Engineering, 2019, 27 (10): 2284-2292.
[19] 邱中建, 趙文智, 胡素云, 等. 我國天然氣資源潛力及其在未來低碳 經濟發展中的重要地位[J]. 中國工程科學, 2011, 13(6): 81-87.
QIU Zhongjian, ZHAO Wenzhi, HU Suyun, et al. The natural gas resource potential and its important status in the coming low-carbon economy[J]. Engineering Sciences, 2011, 13(6): 81-87.
[20] 丁超 . LNG 繞管式換熱器殼側兩相流動與傳熱特性實驗研究[D].上海: 上海交通大學, 2018.
DING Chao. Experimental investigations on two-phase flow and heat transfer characteristics in shell side of LNG spiral-wound heat exchanger[D]. Shanghai: Shanghai Jiao Tong University, 2018.
[21] 董龍飛, 劉坤. LNG 繞管式換熱器殼程兩相降膜換熱的數值模擬[J]. 石油化工高等學校學報, 2020, 33(5): 80-85. DONG Longfei, LIU Kun. Numerical simulation of two-phase falling film heat transfer at shell side of spiral-wound LNG heat exchanger[J]. Journal of Petrochemical Universities, 2020, 33(5): 80-85.
[22] WEICKERT T, GRAB T H, STORCH T H, et al. Investigations regarding the wetting behavior of propane on the surfaces of geothermal heat pipes[C]//The 8th Minsk International Seminar Heat Pipes, Heat Pumps, Refrigerators, power Sources. Minsk, 2011.
[23] 陳永東, 吳曉紅, 周兵. LNG纏繞管式換熱器試驗研究中的熱物性 計算方法[J]. 天然氣工業, 2011, 31(6): 92-97.
CHEN Yongdong, WU Xiaohong, ZHOU Bing. Calculation methods of thermo-physical properties for experimental research on LNG spiralwound heat exchangers[J]. Natural Gas Industry, 2011, 31(6): 92-97.
[24] FREDHEIM A O. Thermal design of coil-wound LNG heat exchanger. Shell-side heat transfer and pressure drop[D]. Norway: Trondheim University, 1994.
[25] KUNZ O, WAGNER W. The GERG2004 Wide-range equation of state of natural gases and other mixtures[J]. Journal of Chemical and Engineering Data, 2007, 57(11): 3032-3091.
相關鏈接